Հանրահաշվական կոտորակների աստիճան բարձրացումը
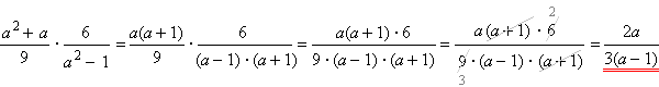
Որպեսզի բազմապատկել կոտորակները, որոնց համարիչները և հայտարարները բազմանդամներ են, պետք է՝ այդ բազմանդամները վերլուծել արտադրիչների (եթե հնարավոր է),
  • համարիչը բազմապատկել համարիչով, իսկ հայտարարը՝ հայտարարով,
  • համարիչների արտադրյալը բաժանել հայտարարների արտադրյալի վրա:
Օրինակ
teo9_1.PNG
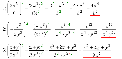
 AB հանրահաշվական կոտորակի \(n\) բնական աստիճան կոչվում է \(n\) արտադրիչների արտադրյալը, որոնցից յուրաքանչյուրը հավասար է AB -ի:
ABABAB...AB=ABnnանգամ
Կոտորակի աստիճանը նույնաբար հավասար է մի կոտորակի, որի համարիչը հավասար է համարիչի աստիճանին, իսկ հայտարարը՝ հայտարարի աստիճանին՝
 
ABn=AnBn,B0
Օրինակ
teo9_6.PNG
Աղբյուրները
Ս. Մ. Նիկոլսկի, Մ.Կ. Պոտապով, Ն.Ն. Րեշետնիկով, Ա.Վ. Շեվկին, Հանրահաշիվ, 8-րդ դասարան, Անտարես, 2012: