
















Հանրահաշվական կոտորակների բազմապատկումը
Կոտորակը կոտորակով բազմապատկելու համար պետք է համարիչը բազմապատկել համարիչով, իսկ հայտարարը՝ հայտարարով և առաջին արտադրյալը գրել համարիչում, իսկ երկրորդը՝ հայտարարում:
Հանրահաշվական կոտորակների արտադրյալը նույնաբար հավասար է մի կոտորակի, որի համարիչը հավասար է համարիչների արտադրյալին, իսկ հայտարարը՝ հայտարարների:
Եթե հնարավոր է, ապա ստացված կոտորակը կրճատում են:
Արտադրյալը սահմանվում է փոփոխականի միայն այն արժեքների համար, որոնց դեպքում կոտորակների հայտարարները հավասար չեն զրոյի:
Այսինքն՝ եթե -ն և -ն երկու հանրահաշվական կոտորակներ են, որտեղ \(A\) -ն, \(B\) -ն, \(C\) -ն և \(D\) -ն բազմանդամներ են, ապա , որտեղ :
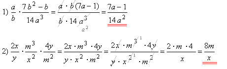
Օրինակ
Կատարենք բազմապատկումը՝
Լուծում: Դրական և բացասական թվերի արտադրյալը բացասական թիվ է, այդ պատճառով կոտորակի առջևում դնում ենք մինուս նշանը:
Աղբյուրները
Ս. Մ. Նիկոլսկի, Մ.Կ. Պոտապով, Ն.Ն. Րեշետնիկով, Ա.Վ. Շեվկին, Հանրահաշիվ, 8-րդ դասարան, Անտարես, 2012: