
















Ռացիոնալ արտահայտությունների պարզեցումը
Ռացիոնալ արտահայտություն կոչվում է այն արտահայտությունը, որում մի քանի հանրահաշվական կոտորակներ միացված են թվաբանական գործողությունների նշաններով:
Օրինակ
Ռացիոնալ են հետևյալ արտահայտությունները՝
Հիմա կդիտարկենք և կպարզեցնենք ավելի բարդ ռացիոնալ արտահայտություններ, որոնցում կատարվում են մի քանի գործողություններ հանրահաշվական կոտորակների հետ:
— կոտորակների բազմապատկում և բաժանում
— կոտորակների բազմապատկում և հանում
— կոտորակերի աստիճան բարձրացում և գումարում
Որպեսզի այսպիսի արտահայտությունները ճիշտ պարզեցնել, պետք է՝
- պահպանել գործողությունների հերթականությունը,
- պահպանել այդ գործողությունների կատարման կանոնները,
- հիշել, որ բոլոր գործողությունները կատարվում են միայն այն արժեքների համար, որոնց դեպքում կոտորակներն իմաստ ունեն:
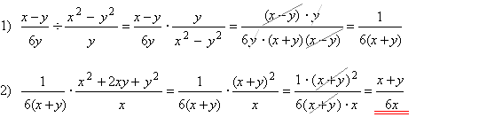
Օրինակ
Կատարենք գործողությունները՝
Լուծում: Այս առաջադրանքը կարելի է կատարել երկու եղանակներով:
Առաջին եղանակ:
Պարզեցումը կատարվում է երկու գործողություններով՝ սկզբում կատարվում է բաժանումը, ապա բազմապատկումը: Յուրաքանչյուր գործողության ժամանակ կոտորակների համարիչներն ու հայտարարները պետք է վերլուծել արտադրիչների:
Երկրորդ եղանակ:
Բաժանումը ու բազմապատկումը կատարվում է միաժամանակ: Բոլոր կոտորակների համարիչներն ու հայտարարները գրվում են մեկ կոտորակում, ապա կատարվում է արտադրիչների վերլուծում և կրճատում:
Աղբյուրները
Ս. Մ. Նիկոլսկի, Մ.Կ. Պոտապով, Ն.Ն. Րեշետնիկով, Ա.Վ. Շեվկին, Հանրահաշիվ, 8-րդ դասարան, Անտարես, 2012: