Հանրահաշվական կոտորակների կրճատումը
Հանրահաշվական կոտորակը կրճատելու համար պետք է կոտորակի համարիչը և հայտարարը վերլուծել արտադրիչների: Եթե պարզվի, որ համարիչն ու հայտարարն ունեն ընդհանուր արտադրիչներ, ապա դրանք կարելի է կրճատել:
Արտադրիչների վերլուծման օրինակներ՝
  
- ընդհանուր արտադրիչի դուրս բերումը փակագծերից,
- կրճատ բազմապատկման բանաձևերի օգտագործումը,
- խմբավորման եղանակ:
 
001.PNG
- կոտորակը կրճատված է \((m + 2)\) 
   երկանդամով
002.PNG
- համարիչն ու հայտարարը վերլուծված են 
  արտադրիչների, և կոտորակը կրճատված է 
  \((x - y)\) ընդհանուր արտադրիչով
003.PNG- համարիչն ու հայտարարը վերլուծված են 
  արտադրիչների, և կոտորակը կրճատված է 
  \((a - b)\) ընդհանուր արտադրիչով
004.PNG
- համարիչը վերլուծված է արտադրիչների
  գումարի քառակուսու բանաձևի միջոցով,
  հայտարարում փակագծերից դուրս
  է բերված ընդհանուր արտադրիչը, ապա
  կոտորակը կրճատված է \((m + n)\)
  երկանդամի վրա
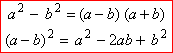
Կրճատ բազմապատկման բանաձևերը, որոնք օգտագործվում են կոտորակները կրճատելիս
Քառակուսիների տարբերություն՝ a2b2=(ab)(a+b)
Գումարի քառակուսի՝ (a+b)2=a2+2ab+b2
Տարբերության քառակուսի՝ (ab)2=a22ab+b2
Խորանարդների գումար՝ a3+b3=(a+b)(a2ab+b2)
Խորանարդների տարբերություն՝ a3b3=(ab)(a2+ab+b2)
Օրինակ
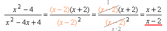
Կրճատենք x24x24x+4 հանրահաշվական կոտորակը:
Լուծում:
  
1. Կոտորակի համարիչն ու հայտարարը վերլուծում ենք արտադրիչների՝ օգտագործելով քառակուսիների տարբերության և տարբերության քառակուսու բանաձևերը:
 
x24x24x+4=(x2)(x+2)(x2)2
                     1211.PNG
      
2. Կոտորակը կրճատում ենք \((x-2)\) ընդհանուր արտադրիչով:
 
005.PNG
 
2x+2 կոտորակը ձևափոխիր այնպես, որ հայտարարում առաջանա 3x212 արտահայտությունը:
 
Լուծում:
 
1. 2x+2 կոտորակը ձևափոխելու համար վերլուծենք 3x212 արտահայտությունը արտադրիչների՝ 3x212=3(x24)=3(x2)(x+2)
 
2. Համեմատում ենք ստացված արտադրյալը կոտորակի հայտարարի՝ \(x+2\) երկանդամի հետ և եզրակացնում ենք, որ պետք է համարիչը և հայտարարը բազմապատկել \(3(x-2)\) -ով:
 
006.PNG
 
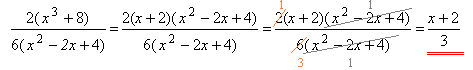
Պարզեցրու 2x3+166x212x+24 հանրահաշվական կոտորակը:
 
Լուծում:
 
1. Համարիչում փակագծերից դուրս բերենք \(2\)-ը, իսկ հայտարարում՝ \(6\)-ը:
 
2x3+166x212x+24=2(x3+8)6(x22x+4)
 
2. x3+8 արտահայտությունը վերլուծենք արտադրիչների խորանարդների գումարի բանաձևի օգնությամբ և կրճատենք կոտորակը:
 
007.PNG
Աղբյուրները
Ս. Մ. Նիկոլսկի, Մ.Կ. Պոտապով, Ն.Ն. Րեշետնիկով, Ա.Վ. Շեվկին, Հանրահաշիվ, 8-րդ դասարան, Անտարես, 2012: