
















Բազմանդամներ: Տարբեր հայտարարներով կոտորակների գումարումն ու հանումը
Եթե կոտորակների հայտարարներն իրարից տարբեր բազմանդամներ են, ապա այդպիսի կոտորակները գումարելու կամ հանելու համար պետք է՝
- գտնել ընդհանուր հայտարարը,
- կոտորակները բերել ընդհանուր հայտարարի,
- կատարել գումարումը կամ հանումը,
- հնարավորինս կրճատել ստացված կոտորակը:
Եթե կոտորակների հայտարարները բազմանդամներ են, ապա նրանց ընդհանուր հայտարարը ևս կլինի բազմանդամ: Այն կարելի է որոշել հետևյալ կերպ՝
- բոլոր հայտարարները վերլուծում ենք արտադրիչների (եթե դա հնարավոր է),
- մի հայտարարից վերցնում ենք բոլոր արտադրիչները, իսկ մյուսից միայն այնպիսինները, որոնք չկան առաջին հայտարարում (որոնք պակասում են):
Եթե հայտարարների բազմանդամները հնարավոր չէ վերլուծել արտադրիչների, կամ հայտարարները իրար հետ չունեն ընդհանուր արտադրիչներ, ապա ընդհանուր հայտարարը հավասար է բոլոր կոտորակների հայտարարների արտադրյալին:
Գտնված ընդհանուր հայտարարը հարմար է միանգամից գրել «նոր» կոտորակի հայտարարում և գտնել համարիչը:
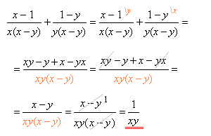
Օրինակ
Կատարենք այս գումարումը՝
Լուծում:
1) Կոտորակների հայտարարները վերլուծենք արտադրիչների՝
2) Գտնենք ընդհանուր հայտարարը:
Առաջին կոտորակի \(x ( x - y )\) հայտարարին երկրորդ կոտորակի հայտարարի հետ համեմատած պակասում է \(y\) արտադրիչը: Հետևաբար ընդհանուր հայտարարը կլինի՝
3) Կոտորակները բերում ենք ընդհանուր հայտարարի, գումարում ենք համարիչները և կրճատելով՝ պարզեցնում արդյունքը՝
Աղբյուրները
Ս. Մ. Նիկոլսկի, Մ.Կ. Պոտապով, Ն.Ն. Րեշետնիկով, Ա.Վ. Շեվկին, Հանրահաշիվ, 8-րդ դասարան, Անտարես, 2012: